| |
|
QQ:3446094242 |
|
|
微信号:goodluckgold |
|
| 课件学习、网上考试答案,如有需要,请加微信或QQ,全程辅导,为您排忧解难!!! |
|
|
|
|
| |
|
|
青书学堂黄淮学院概率论与数理统计(专升本)网上考试答案
 ( )。 |
A: B: C: D: |
|
( ) 。 |
A: B: C: D: |
|
 |
| A: n=4 p=0.6 B: n=6 p=0.4 C: n=8 p=0.1 D: n=24 p=0.1 |
|
 ( ) 。 |
A: B: C: D: |
|
 |
A: B: C: D: |
|
( ) 。 |
A: B: C: D: |
|
 则( )成立。 |
A: B: C: D: |
|
 |
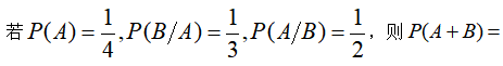
| A: 1/2 B: 1/4 C: 1/3 D: 2/5 |
|
设( 4,6,4,3,5,4,5,8,4,7 )是来自总体 的一个样本值,则样本均值 =(??)。 |
| A: 2 B: 3 C: 4 D: 5 |
|
(??) 。 |
| A: 1 B: 2 C: 3 D: -1 |
|
随机变量 服从二项分布 ,则( ) |
A: B: C: D: |
|
在假设检验问题中,犯第一类错误的概率 的意义是( )。 |
A:在 不成立的条件下,经检验 被拒绝的概率; B:在 不成立的条件下,经检验 被接受的概率; C:在 成立的条件下,经检验 被拒绝的概率; D:在 成立的条件下,经检验 被接受的概率. |
|
设一批零件的长度服从正态分布 ,其中 均未知,现从中随机抽取16个零件,测得样本均值 ,样本标准差 ,则 的置信度为0.90的置信区间是( ) |
A: B: C: D: |
|
设 是来自正态总体 的样本,则下列统计量中( )是 的最有效的估计量。 |
A: B: C: D: |
|
    ( )。 |
A: B: C: D: |
|
设 与 的相关系数为0,则( )。 |
A: 与 必相关; B: 与 必不相关; C: 与 不一定相关; D: 与 相互独立. |
|
则( )。 |
A: B: C: D: |
|
设 ,且 与 相互独立,则 =( )。 |
A: B: C: D: |
|
( )。 |
A: B: C: D: |
|
( )。 |
A: B: C: D: |
|
已知二维连续型随机向量 则常数 ( )。 |
A: ; B: ; C: ; D: . |
|
下列有关联合分布函数 描述错误的是( )。 |
A: B: C: D: |
|
若二维随机向量 的联合分布律如下: 
则 与 的关系为( )。 |
A: B: C: D: |
|
设随机变量 ,随机变量函数 ,则 ( )。 |
A:0; B: C: D: 无法确定. |
|
设随机变量 ,若 ,则 ( )。 |
| A:-3; B: 0; C: 2; D: 3. |
|
当 ,则 ( )。 |
A: ; B: ; C: ; D: . |
|
( )。 |
A: ; B: ; C: ; D: . |
|
设 表示三个事件,则 表示( )。 |
| A:三个事件都不发生 B: 三个事件中至少有一个发生 C: 三个事件中不多于一个发生 D: 三个事件中恰有两个发生 |
|

( )。 |
A: B: C: D: |
|
( )。 |
A: B: C: D: |
|
( ) |
| A:正确 B:错误 |
|
限个,这种随机变量称为离散型随机变量。 ( ) |
| A:正确 B:错误 |
|
性相同(2)试验的样本空间可以有无穷多个元素。 ( ) |
| A:正确 B:错误 |
|
 |
| A:正确 B:错误 |
|
( )。 |
| A:正确 B:错误 |
|
 |
| A:正确 B:错误 |
|
 |
| A:正确 B:错误 |
|
 |
| A:正确 B:错误 |
|
( )。 |
| A:正确 B:错误 |
|
 |
| A:正确 B:错误 |
|
 |
| A:正确 B:错误 |
|
( )。 |
| A:正确 B:错误 |
|
 |
| A:正确 B:错误 |
|
 |
| A:正确 B:错误 |
|
 |
| A:正确 B:错误 |
|
 |
|
|
|