青书学堂黄淮学院数据结构(高起本)网上考试答案
 |
| A:n-1 B:n C:2n D:n(n-1) |
|
则此图是( )。 |
| A:有向完全图 B:连通图 C:强连通图 D:有向无环图 |
|
表示,则所有顶点邻接表中的结点总数为( )。 |
| A:2*n B:2*e C:n D:e |
|
 |
| A:n(n-1)/2 B:n(n-1) C:n(n-2) D:2n |
|
的范围从0~8,列下标j的范围从1~10。若a按行存放,元素a[8,5]的起始地址与当a按列存放时的元素( )的起始地址一致(每个字符占一个字节)。 |
| A:a[8,5] B:a[3,10] C:a[5,8] D:a[0,9] |
|
则其容量为( )。 |
| A:n*n B:n*(n+1)/2 C:(n+1)*(n+1)/2 D:(n-1)*n/2 |
|
ead和tail函数取出ls中原子b的运算是( )。 |
| A:head(head(ls)) B:tail(head(ls)) C:head(head(tail(ls))) D:head(tail(ls)) |
|
从a中取出原子e的运算是( )。 |
| A:tail(head(a)) B:head(tail(a)) C:head(tail(tail(head(a)))) D:head(tail(tail(a))) |
|
的顺序存储,设第一个元素的首址是100,每个元素的长度为3。元素b[5,0,7]的存储首址为( )。 |
| A:900 B:912 C:910 D:913 |
|
的结果为( )。 |
| A:c,d B:(c,d) C:((c,d)) D:d,c |
|
移动次数是( ) |
| A:n-i B:n-i+1 C:i D:i-1 |
|
从0到7,列下标j从0到9,从首地址1000开始连续存放在存储器内,该数组按行存放时,元素A[4][7]的起始地址为 ( ) |
| A:1141 B:1240 C:1180 D:1224 |
|
( ) |
| A:树 B:字符串 C:队 D:栈 |
|
( ) |
| A:广义表是由0个或多个单元素或子表构成的有限序列 B:广义表至少有一个元素是子表 C:广义表不能递归定义 D:广义表不能为空表 |
|
层次为1)。 |
| A:8 B:7 C:6 D:5 |
|
条件是( )。 |
| A:t->left==NULL B:t->ltag==1 C:t->ltag==1 t->left==NULL D:以上都不对 |
|
,k)),则该广义表的长度和深度分别为( )。 |
| A:5和3 B:5和4 C:4和3 D:4和4 |
|
若一棵二叉树如下图所示,若其遍历序列是AECFBD,则其执行的是下面哪一种遍历策略 ( ) |
| A:层序遍历 B:先序遍历 C:中序遍历 D:后序遍历 |
|
是 ( ) |
A:编号为i的结点若有左孩子,则其左孩子的编号必定是2i B:编号为i的结点若有右孩子,则其右孩子的编号必定是2i+1 C:C.编号为i的结点若不是根结点,则其双亲结点的编号必为 D:D.编号为i的结点若不是根结点,则其双亲结点的编号必为 |
|
( ) |
| A:分支结点 B:叶子结点 C:树根结点 D:孩子结点 |
|
阵中 ( ) |
| A:第i行非0且非∞的元素个数 B:第i列非0且非∞的元素个数 C:第i行非0元素的个数 D:第i列非0元素的个数 |
|
( ) |
| A:(rear+1)% Maxsize==front B:rear==front C:rear+1==front D:rear=(front+1)%Maxsize |
|
下面关于有向图运算的叙述: (1)求有向图结点的拓扑序列,其结果必定是唯一的。 (2)求两个指向结点间的最短路径,其结果必定是唯一的。 (3)求AOE网的关键路径,其结果必定是唯一的。 其中,正确的是 ( ) |
| A:只有(1) B:(1)和(2) C:都正确 D:都不正确 |
|
一个栈的入栈序列是1,2,3,4,5,则下面哪一个不可能是其出栈序列 (D )
|
| A:A.3,2,1,4,5 B:B.5,4,3,2,1 C:C.1,2,3,4,5 D: D.4,2,3,5,1 |
|
P 的子串的过程称为( ) |
| A:求子串 B:串连接 C:模式匹配 D:串替换 |
|
为01122313。( ) |
| A:正确 B:错误 |
|
串的长度。 |
| A:正确 B:错误 |
|
个数。( ) |
| A:正确 B:错误 |
|
连通子图,n个顶点的生成树有n-1条边,最小代价生成树是唯一的。( ) |
| A:正确 B:错误 |
|
| 哈希冲突是指同一个关键字对应多个不同的哈希地址。 ( ) |
| A:true B:false |
|
| 哈希存储法只能存储数据元素的值,不能存储数据元素之间的关系。 ( ) |
| A:true B:false |
|
| 每个结点的关键字都比左孩子的关键字大,比右孩子的关键字小,这样的二叉树都是二叉排序树。 ( ) |
| A:true B:false |
|
| 在二叉排序树中,每个结点的关键字比左孩子的关键字大,比右孩子的关键字小。 ( ) |
| A:true B:false |
|
| 二分查找可以在有序的双向链表上进行。 ( ) |
| A:true B:false |
|
| 顺序查找法只能在顺序存储结构上进行。 ( ) |
| A:true B:false |
|
| 顺序查找法适合于顺序或链式存储结构的查找表。 ( ) |
| A:true B:false |
|
| 如果表示图的邻接矩阵不是对称的,则该图一定是有向图。( ) |
| A:true B:false |
|
| 如果表示有向图的邻接矩阵是对称的,则该有向图一定是完全有向图。 ( ) |
| A:true B:false |
|
| 连通分量是无向图的极小连通子图。 ( ) |
| A:true B:false |
|
邻接矩阵只存储了边的信息,没有存储顶点的信息。 ( ) |
| A:true B:false |
|
| 有向图中,各顶点的入度之和等于各顶点的出度之和。 ( ) |
| A:true B:false |
|
| n 个顶点的无向图至多有 n(n-1) 条边。 ( ) |
| A:true B:false |
|
| 哈夫曼树的结点个数不偶数。 ( ) |
| A:true B:false |
|
| 哈夫曼树是带权路径长度最短的树,路经上权值较大的结点离根最近。 ( ) |
| A:true B:false |
|
| 一棵树中的叶结点数一定等于与其对应的二叉树的叶结点数。 ( ) |
| A:true B:false |
|
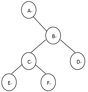
设有如下图所示的二叉树,给出其前序、中序和后序遍历结果。
 |
|
|