青书学堂河南理工大学有机化学(专升本)网上考试答案
) |
| A:苯炔 B:碳烯 C:氮烯 D:碳负离子 |
|
 |
| A:邻甲基苯酚 B: 对甲基苯酚 C: 邻硝基苯酚 D: 对硝基苯酚 |
|
应的是( ) |
| A:甲醛和乙醛 B:乙醇和乙醛 C:丙酮和丙醇 D:乙酸和乙醛 |
|
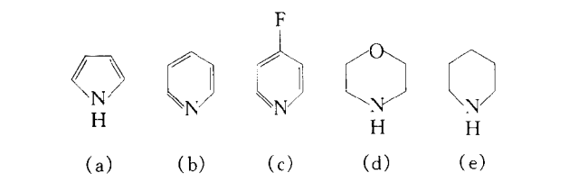
将下列含氮杂环化合物按碱性强弱排列成序( )
 |
| A: e gt;d gt;c gt;b gt;a B: e gt;d gt;a gt;c gt;b C: e gt;d gt;b gt;c gt;a D: a gt;b gt;c gt;e gt;d |
|
 |
| A: 福尔马林 B: 乙酸 C: 甲酸 D:四氯化碳 |
|
) |
| A:乙醚 B:丙醚 C:乙丙醚 D:以上三种醚的混合物 |
|
同而与不同的金属离子络合,18 -冠-6最容易 络合的离子是:( ) |
| A:Li+ B: Na+ C: K+ D:Mg2+ |
|
下列五个戊醛糖的结构中,互为对映体的是 ( )
 |
| A: ab B: ad C: bc D: cd |
|
 |
| A:乙醇和水 B:四氯化碳和水 C:乙醇和苯 D:四氯化碳和苯 |
|
| 下列化合物按SNI反应,反应速率最快的是( ) |
| A:2-甲基-2-溴丁烷 B: 1 -溴丁烷 C: 2 -溴丁烷 D: 3 -溴戊烷 |
|
 |
| A:苯甲醇 B:叔丁醇 C: 异丁醇 D: 甲醇 |
|
 |
| A:乙烯 B:乙炔 C: 异丁醇 D: 丙酮 |
|
) |
| A:与NaCN和硫酸反应 B:与格氏试剂反应 C:在干燥氯化氢存在下与乙醇反应 D:与碘的NaOH溶液反应 |
|
| 为了合成烯 (CH3)2C=ch2,最好选用下列何种醇为原料?( ) |
| A:(CH3)2CHCH2OH B:(CH3)3COH C:CH3CH2 CH0HCH3 D: CH3CH2CH2CH2OH |
|
 |
| A:果糖 B:乳糖 C:麦芽糖 D:蔗糖 |
|
 |
| A:1-氯戊烷 B: 2-氯戊烷 C:3-氯戊烷 D: 2-甲基-2-氯丁烷 |
|
 |
| A:I2+NaOH溶液 B:2,4-二硝基苯肼 C:斐林试剂 D:格氏试剂 |
|
 |
| A:甲醛 B:丙酮 C:三氯乙醛 D:乙醛 |
|
 |
| A:亲电取代 B:亲核取代 C:自由基取代 D:自由基加成 |
|
 |
| A:氨 B:甲胺 C:二甲胺 D:三甲胺 |
|
甲基己烷;c. 正癸烷;d.正庚烷。正确的是( ) |
| A: a gt;b gt;c gt;d B: d gt;c〉b gt;a C: c gt;d gt;a gt;b D: c gt;d gt;b gt;a |
|
 |
| A:C6H5CH2NO2 B:(CH3)2CHNO2 C:CH3CH2CH2NO2 D:(CH3)3CNO2 |
|
 |
| A:乙醇 B:叔丁醇 C:2-甲基-1-丙醇 D:乙醛 |
|
 |
| A: C+H3 B: (CH3)3C+ C: CH3C+H2 D: (CH3)2C+H |
|
( ) |
| A: 一定沸程的烷烃混合物 B:一定沸程的芳烃混合物 C: 醚类混合物 D:烷烃和醚的混合物 |
|
| 某三元环化合物,分子式为C5Hi0,其所有可能的异构体总数为( ) |
| A:6 B:5 C:4 D:3 |
|
| 下列三种化合物戊基自由基按稳定性排列成序,a:CH3 CHCH(CH3)2,b: CH2CH2CH(CH3)2, c:CH3CH2 C(CH3)2 ( ) |
| A:c gt;a gt;b B:c gt;b gt;a C:a gt;b gt;c D:a gt;c gt;b |
|
 |
A: B: C: D: |
|
 |
| A:1,4一己二烯 B: 2,4-己二烯 C: 1,5-己二烯 D: 2,5-己二烯 |
|
括为具有共同物理变化特点的基本过程。 |
| A:化工过程 B:化工单元过程 C:化工单元操作 D:化学生产技术 |
|
发生加成反应生成2-丁酮的是( ) |
| A:1-丁烯 B: 2-丁烯 C:丙烯 D:2-丁炔 |
|
() |
| A:碘仿反应和碳酸氢纳 B:碘仿反应和苯肼 C: 碳酸氢纳和高猛酸钾 D: 眼镜反应和高猛酸钾 |
|
) |
| A:三氯化铁 B:溴水 C:苯肼 D:亚硫酸氢纳 |
|
 |
| A:乙醇 B:丙酮 C:乙醛 D:丙醛 |
|
 |
| A:溴水 B: 浓硫酸 C:酸性高锰酸钾 D:银氨溶液 |
|
 |
| A:硝基 B: 甲基 C:叔丁基 D:硫磺基 |
|
 |
| A:淀粉 B:果糖 C: 蔗糖 D: 麦芽糖 |
|
 |
| A: C6H5CH2NO2 B:(CH3)2CHNO2 C: CH3CH2CH2NO2 D: (CH3)3CNO2 |
|
 |
| A:甲苯 B:环戊二烯 C:乙苯 D:环戊二烯负离子 |
|
 |
| A:烃类 B:非烃类 C:胶质 D:沥青 |
|
(合成题)用所给的原料合成指定化合物。
 |
|
|